情報科学概論II(実習) 3回目
次回実習日までに課題を提出すること
課題提出はNUCTにログインして行うこと.
講義資料
今日やること
課題提出の際には,課題番号が分かるようにしておくこと.
-
本日の
講義資料に載せてある
gnuplot の操作を一通りこなして慣れた上で,以下の課題に取り組むこと.
なお, 講義資料の5節に書いてあるようにgnuplotを自分のコンピュータに
インストールしたものはそれを使えば良い.
それ以外のものはWebサイト
http://gnuplot.respawned.com
を用いてgnuplotを使用せよ(このページの下に簡単な使い方は記載).
-
課題
1.
-2pi< x <2pi, -2< y <2の範囲で y=sin(2x), y=cos(x), y=tan(x), y=exp(0.2x)の関数を同時に表示せよ.
講義ノート(2ページ目)を参考に,表示した結果をPNGファイルに書き出し,
NUCTの添付ファイルとして提出せよ.
2.
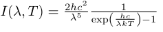
温度T[K]の黒体が放射する単位波長あたりの放射強度(intensity)I(J/m^2 s str m)は,
波長[m]をλとすると以下の式で表される.
2.1
gnuplot上で上式をx=λ, y=TとしI(x,y)の形で定義し,その式をNUCTの入力欄に解答せよ,
ただし,c (光速), h (プランク定数), k (ボルツマン定数) を次のように定義する.
gnuplot上でのc,h,kの定義式も含めて解答せよ.
c(m/s)=2.99792458e8
h(J s)=6.626068e-34
k(J/K)=1.3806504e-23
2.2 (2次元プロット)
T=60000K, 6000K, 600Kの時の放射強度スペクトルを表示し,そのPNGファイルを添付せよ.
縦軸,横軸共に対数表示(set log で縦軸横軸共に対数表示になる), 横軸は波長(1nmから1cm),縦軸は放射強度(見易いように調整せよ)とする. またそれぞれの温度の時に放射強度が最大になる波長を有効数字一桁でグラフから読み取り,その式をNUCTの入力欄に解答せよ.
各軸のラベルもきちんと表示しておくこと.
2.3 (3次元プロット)
x軸を波長(1nmから1cm),y軸を温度(100Kから100000K),z軸を放射強度(見易いように調整せよ)とし,すべての軸を対数表示としてsplotを用いてグラフ化し,そのPNGファイルを添付せよ. 表示角度,表示オプションは見やすいと思うように設定すること.
各軸のラベルもきちんと表示しておくこと.
3D表示される角度は、x,y軸の拡大率、z軸の拡大率は
gnuplot> set view (x軸周りの回転角), (z軸周りの回転角), (x,y軸の拡大率), (z軸の拡大率)
で与えることができる.
Webでのgnuplotの使い方( http://gnuplot.respawned.com)
-
Web gnuplotのページにアクセスする.
- 下にスクロールし、"Plot script"(下図)を見つける.
- 5行目「# Key means label...」以下は消して, 自分のグラフを描くためのコマンドを打ち込む. 下図では, 講義資料の2ページ目に記述されている例を"Plot script"に打ち込んだものを示す.
- 「Gnuplot says」に print abs({2,5}) の計算結果が表示されている. さらにプロットは下図のように "Result" にプロットされる. "Plot script"を変更すると即座に"Result"にプロットされます.
- PNG形式の画像ファイルも作ってくれる. PNGファイル作成が, うまくいかない場合は他のWeb Browser(OperaやGoogle Chrome等)を使ってみよう.