宇宙線駆動型銀河風によるハローの金属汚染

近年のX線観測(e.g., O VII, O VIII 吸収線)により,銀河系を含む多くの星形成銀河の周囲(銀河周縁部:Circumgalactic Medium, CGM)には,銀河円盤のバリオン質量に匹敵,あるいはそれ以上の質量を持つ希薄な高温ガス(T ~ 10^6 K)が存在することが明らかになった. これらのガスは,星形成活動を経ていない始原ガス(Primordial Gas)のみで構成されておらず,多くの重元素を含んでいることから,銀河円盤内の星形成過程で生成された重元素が何らかの機構で円盤外へ輸送されたことを示唆している.

研究の背景:従来の熱的銀河風モデルの限界

これまで,重元素の輸送メカニズムとして,超新星爆発の熱エネルギーによって駆動される「熱的な銀河風」が広く検討されてきた. しかし,近年のより詳細な理論解析により,銀河系のような質量を持つ銀河において,太陽金属量程度のガスを熱圧力のみで駆動しようとすると,放射冷却が極めて効率的に働くことがわかってきた.

その結果,ガスは円盤から脱出する十分な速度を得る前にエネルギーを失って冷却し,再び円盤へと落下してしまう. これは「銀河噴水流(Galactic Fountain)」と呼ばれ,観測されているような100 kpc以遠への広範な物質輸送(CGMの起源)を説明することは困難であった.

Shimoda & Inutsuka (2022) による宇宙線駆動型銀河風モデル

Shimoda & Inutsuka (2022) は,この問題を解決するために,宇宙線(Cosmic Rays)とAlfvén波の相互作用を考慮した定常銀河風モデルを構築した.

宇宙線加熱による冷却の抑制

本研究の最大の特徴は,宇宙線の「圧力勾配力」だけでなく,宇宙線がAlfvén波との相互作用によって生じる実効的な「宇宙線によるガス加熱」を考慮した点である.

解析結果:銀河風の到達距離と質量放出率

本モデルによって得られた解の挙動と,物質輸送の効率について以下に示す.

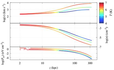
定常銀河風の解の例

定常銀河風の解の一例
図は定常銀河風の空間構造を示している.銀河円盤から流出したガスが,銀河のビリアル半径まで到達していることが確認できる. (Shimoda & Inutsuka 2022 Figure 5より引用)

質量放出率の宇宙線圧力依存性

円盤での宇宙線圧力に対する銀河風によるガスの輸送率
横軸は円盤内の宇宙線圧力,縦軸は質量放出率(緑)を表す. 銀河系の典型的なパラメータ(Pcr, bt ~ 0.3 eV/cc)を適用すると,ガスの流出率はおよそ 数 太陽質量/年 (数 M/yr) 程度と見積もられる. (Shimoda & Inutsuka 2022 Figure 11より引用)

主な結論

解析の結果,銀河系の典型的な星形成率(SFR ~ 1 - 3 太陽質量/年)の下でも,宇宙線加熱を考慮することで,金属に富んだガスを銀河ハローの外縁部(> 100 kpc)まで輸送可能な解が存在することが初めて定量的に示された. これは,銀河ハローにおける金属汚染の起源を物理的に説明する強力なシナリオを提供するとともに,銀河進化における宇宙線フィードバックの重要性を強く示唆している.

参考文献: Shimoda, J., & Inutsuka, S. (2022). "The Effects of Cosmic-Ray Diffusion and Radiative Cooling on the Galactic Wind of the Milky Way." ApJ (arXiv:2112.04762)